Let a tangent to the curve meet the curve at the points A and B. Then the mid-points of such line segments AB lie on a parabola with the [2023]
length of latus rectum 3/2
length of latus rectum 2
directrix = 3
directrix = - 3
(3)
The equations of the sides AB and AC of a triangle ABC are respectively. Its vertex A is on the -axis and its orthocentre is (1, 2). The length of the tangent from the point C to the be part of the parabola in the first quadrant is [2023]
(1)
Since vertex is on -axis

Let coordinates of be .
So, coordinates of are

Equation of tangent be
So, tangent which touches in first quadrant at is
The equations of two sides of a variable triangle are and and its third side is a tangent to the parabola . The locus of its circumcentre is [2023]
(1)
Here
Equation of tangent is

...(i)
Putting in (i), we get
Putting in (i), we get
The centre of the circle will lie on the line as midpoint.
On substituting to eliminate , we get
So, locus is
If the tangent at a point P on the parabola is parallel to the line and the tangents at the points Q and R on the ellipse are perpendicular to the line , then the area of the triangle PQR is [2023]
(1)
If tangent at a point on is parallel to the line and tangent at point and on ellipse are perpendicular to the line .
Firstly we have equation of parabola
Tangent at is parallel to
{On comparing it with }
Then slope, at
On differentiating equation (i) with respect to
Co-ordinates of are .
Similarly,
So, we have three points P, Q and R by which area of
Hence, the area of .
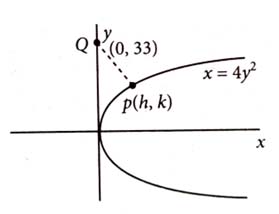
If be a point on the parabola , which is nearest to the point Q(0, 33), then the distance of P from the directrix of the parabola is equal to [2023]
4
2
8
6
(4)
We have
Equation of normal at

This line passes through the point .
...(i)
will satisfy , so . ...(ii)
Solving equations (i) and (ii), we get
Now we have equation of parabola,
The directrix of this parabola is
This is the line parallel to the y-axis.
So, distance of from the line is .
The parabolas : and intersect on the line . If are positive real numbers and are in G.P., then [2023]
(4)
...(i)
...(ii)
Equation (i) and (ii) intersect at .
...(iii)
...(iv)
Roots of equation (iii):
and
Let A be a point on the x-axis. Common tangents are drawn from A to the curves and . If one of these tangents touches the two curves at Q and R, then is equal to [2023]
76
81
72
64
(3)
Given curves are and
Equation of tangent to the parabola in slope form is:

Length of perpendicular from (0, 0) to the point of tangency is equal to the length of radius of circle.
Point of contact on parabola =
Point of contact on circle is
Distance between and is
Let represent a parabola with focus and directrix . Then [2023]
is an empty set
contains exactly one element
contains exactly two elements
is an infinite set
(3)
Equations of parabola,
Now,
We know,
Let the tangent to the curve at the point P(1, 3) on it meet the y-axis at A. Let the line passing through P and parallel to the line meet the parabola at B. If B lies on the line then is equal to ________ . [2023]
(292)
Equation of tangent at P(1, 3) to the curve is
So, the point is .
Equation of line passing through P and parallel to is .
Point lies on this line.
So, equation of line is .
Now, meets the parabola at .
So,
So, the possible coordinates of are or .
But doesn't lie on the line .
Thus, point is .
The ordinates of the points P and Q on the parabola with focus (3, 0) and directrix are in the ratio 3 : 1. If is the point of intersection of the tangents to the parabola at P and Q, then is equal to _______. [2023]
(16)
Parabola is