m-chlorobenzaldehyde on treatment with 50% KOH solution yields [2024]




(2)

Given below are two statements: [2024]
Statement I: Acidity of -hydrogens of aldehydes and ketones is responsible for Aldol reaction.
Statement II: Reaction between benzaldehyde and ethanal will NOT give Cross – Aldol product.
In the light of the above statements, choose the most appropriate answer from the options given below.
[Aldol Condensation Reaction]
Statement I is incorrect but Statement II is correct.
Statement I is correct but Statement II is incorrect.
Both Statement I and Statement II are correct.
Both Statement I and Statement II are incorrect.
(2)
Aldol condensation is because of acidic character of alpha hydrogen of aldehydes and ketones. Ethanal and benzaldehyde give cross aldol product as follows:

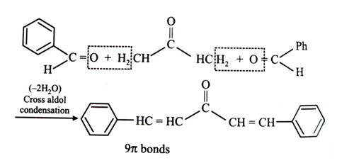
Two moles of benzaldehyde and one mole of acetone under alkaline conditions using aqueous NaOH after heating gives as the major product. The number of bonds in the product is _______. [2024]
(9)

The major product of the following reaction is : [2025]



(3)
2 mol of HCHO undergo cross aldol condensation with 1 mol of . The product formed after that undergoes cross Cannizzaro reaction with HCHO.

A man has been asked to synthesise the molecule
(x). He thought of preparing the molecule using an aldol condensation reaction. He found a few cyclic alkenes in his laboratory. He thought of performing ozonolysis reaction on alkene to produce a dicarbonyl compound followed by aldol reaction to prepare “x”. Predict the suitable alkene that can lead to the formation of “x”. [2025]




(4)

Aldol condensation is a popular and classical method to prepare -unsaturated carbonyl compounds. This reaction can be both intermolecular and intramolecular. Predict which one of the following is not a product of intramolecular aldol condensation? [2025]




(4)

When 
undergoes intramolecular aldol condensation, the major product formed is : [2025]




(1)
Formation of five membered rings is preferred over formation of seven membered rings in intramolecular aldol condensation.

Compound (X) undergoes the following sequence of reactions to give the lactone (Y). [2023]





(3)

Consider the following reaction
The correct statement for product B is. It is [2023]
Optically active and adds one mole of bromine
Optically active alcohol and is neutral
Racemix mixture and gives a gas with saturated solution
Racemix mixture and is neutral
(3)


A in the above reaction is: [2023]




(2)

Given below are two statements: [2026]
Statement I: Cross aldol condensation between two different aldehydes will always produce four different products.
Statement II: When semicarbazide reacts with a mixture of benzaldehyde and acetophenone under optimum pH, it forms a condensation product with acetophenone only.
In the light of the above statements, choose the correct answer from the options given below:
Both Statement I and Statement II are true
Both Statement I and Statement II are false
Statement I is true but Statement II is false
Statement I is false but Statement II is true
(2)
Statement I : False
Cross aldol can give 2 or 4 products
Statement II : False
Benzaldehyde & Acetone both react with semicarbazide.
The compound A, reacts with acetophenone to form a single product via cross-Aldol condensation. The compound A on reaction with conc. NaOH forms a substituted benzyl alcohol as one of the two products. The compound A is : [2026]
4-hydroxy benzylaldehyde
4-methoxy benzaldehyde
4-methyl benzoic acid
2-hydroxy acetophenone
(2)

(On cross aldol reaction, a single structure is obtained but it can show geometrical isomerism).