In the Claisen-Schmidt reaction to prepare 351 g of dibenzalacetone using 87 g of acetone, the amount of benzaldehyde required is _______ g. (Nearest integer) [2024]
(318)
The condensation of an aromatic aldehyde (without hydrogen) with an aliphatic aldehyde or ketone (having hydrogen) in the presence of a strong base (hydroxide or alkoxide) to give , unsaturated aldehydes or ketones is called Claisen-Schmidt condensation reaction.
By stoichiometry of reaction, moles of benzaldehyde = 2 moles of dibenzalacetone = 2 1.5 = 3mol.
Mass of benzaldehyde = moles of benzaldehyde molar mass of benzaldehyde = 3mol 106 = 318 g
The final product A, formed in the following multistep reaction sequence is: [2024]





(2)

The product of the following reaction is P. [2024]

The number of hydroxyl groups present in the product P is ______.
(0)

Major product B of the following reaction has ___________ -bond. [2024]

(5)

'P' is [2025]




(2)

An organic compound (X) with molecular formula is not readily oxidised. On reduction it gives (Y) which reacts with HBr to give a bromide (Z) which is converted to Grignard reagent. This Grignard reagent on reaction with (X) followed by hydrolysis gives 2,3-dimethylbutan-2-ol.
Compounds (X), (Y) and (Z) respectively are: [2025]
(2)

Consider the following reactions. From these reactions which reaction will give carboxylic acid as a major product?

Choose the correct answer from the options given below: [2025]
A and D only
A, B and E only
B, C and E only
B and E only
(4)

An optically active alkyl halide [A] reacts with hot KOH dissolved in ethanol and forms alkene [B] as major product which reacts with bromine to give dibromide [C]. The compound [C] is converted into a gas [D] upon reacting with alcoholic . During hydration 18 gram of water is added to 1 mole of gas [D] on warming with mercuric sulphate and dilute acid at 333 K to form compound [E].
The IUPAC name of compound [E] is: [2025]
But-2-yne
Butan-2-ol
Butan-2-one
Butan-1-al
(3)
Out of four possible isomers of , only one is optically active, so this gives us structure of [A].

The product (A) formed in the following reaction sequence is
[2025]




(3)


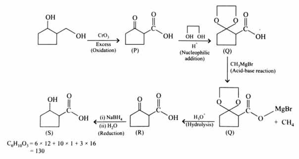
0.1 mole of compound ‘S’ will weigh _____ g.
(Given molar mass in g C : 12, H : 1, O : 16) [2025]
(13)

Mass of 0.1 mol S = 0.1 × molar mass of S = 0.1 × 130 g = 13 g
In the Claisen-Schmidt reaction to prepare dibenzalacetone from 5.3 g of benzaldehyde, a total of 3.51 g of product was obtained. The percentage yield in this reaction was _____%. [2025]
(60)

Moles of benzaldehyde initially taken
For 100% yield of the reaction, 2 mol of benzaldehyde give 1 mol of dibenzalacetone, so 0.05 mol of benzaldehyde give 0.025 mol of dibenzalacetone.
Actual moles of dibenzalacetone obtained
Percentage yield
Identify the structure of the final product (D) in the following sequence of the reactions:

Total number of hybridised carbon atoms in product D is _____. [2025]
(7)

Match List I with List II [2023]
| List I | List II | ||
| Reaction | Reagents | ||
| A. | Hoffmann Degradation | I. | Conc. KOH, |
| B. | Clemmensen reduction | II. | |
| C. | Cannizzaro reaction | III. | , NaOH |
| D. | Reimer–Tiemann Reaction | IV. | Zn–Hg / HCl |
Choose the correct answer from the options given below:
(A) – III, (B) – IV, (C) – II, (D) – I
(A) – III, (B) – IV, (C) – I, (D) – II
(A) – II, (B) – IV, (C) – I, (D) – III
(A) – II, (B) – I, (C) – III, (D) – IV
Match List I with List II [2023]
| List I | List II | ||
| Name of reaction | Reagent used | ||
| A. | Hell–Volhard–Zelinsky reaction | I. | |
| B. | Iodoform reaction | II. | |
| C. | Etard reaction | III. | |
| D. | Gattermann–Koch reaction | IV. |
Choose the correct answer from the options given below:
A–III, B–I, C–II, D–IV
A–I, B–II, C–III, D–IV
A–III, B–I, C–IV, D–II
A–III, B–II, C–I, D–IV
(1)


The correct sequence of reagents for the above conversion of X to Y is: [2026]
(i) Jones reagent (ii) NaOEt (iii) Hot / KOH
(i) (ii) NaOEt (iii) Jones reagent
(i) NaOH (aq) (ii) Jones reagent (iii)
(i) NaOEt (ii) (iii) Jones reagent
(4)

A hydroxy compound (X) with molar mass 122 g is acetylated with acetic anhydride, using a large excess of the reagent ensuring complete acetylation of all hydroxyl groups. The product obtained has a molar mass of 290 g . The number of hydroxyl groups present in compound (X) is: [2026]
5
2
3
4
(4)

A student is given one compound among the following compounds that gives positive test with Tollen’s reagent.

The compound is: [2026]
D
B
C
A
(3)

Consider the following two reactions A and B.

Numerical value of [molar mass of molar mass of ] is ______. [2026]
88
160
4
46
(4)
Match the LIST-I with LIST-II [2026]
| List-I | List-II | ||
| Reagents | Name of reaction involving carbonyl compounds | ||
| A. | I. | Tollen’s Test | |
| B. | II. | Clemmensen Reduction | |
| C. | Aqueous , Sodium potassium tartrate, KOH | III. | Wolff–Kishner Reduction |
| D. | IV. | Fehling’s Test |
Choose the correct answer from the options given below:
A–III, B–IV, C–I, D–II
A–IV, B–III, C–II, D–I
A–III, B–I, C–IV, D–II
A–II, B–I, C–IV, D–III
(3)
Theoretical (NCERT Based)
Which of the following statements are TRUE about Haloform reaction?
A. Sodium hypochlorite reacts with KI to give KOI.
B. KOI is a reducing agent.
C. unsaturated methylketone
will give iodoform reaction.
D. Isopropyl alcohol will not give iodoform test.
E. Methanoic acid will give positive iodoform test.
Choose the correct answer from the options given below: [2026]
A, B & C Only
A, C & E Only
A & C Only
B, D & E Only
(3)
(A) NaOCl + KI → NaCl + KOI
(B) Incorrect statement
(C)
gives iodoform reaction.
(D) Incorrect statement
(E) Incorrect statement
Iodoform test can differentiate between
A. Methanol and Ethanol
B.
C. Cyclohexene and cyclohexanone
D. Diethyl ether and Pentan-3-one
E. Anisole and acetone
Choose the correct answer from the options given below: [2026]
A & D Only
B, C & E Only
A, B & E Only
A & E Only
(4)

Given below are two statements :
Statement I : Compound (X), shown below, dissolves in solution and has two chiral carbon atoms
.
Statement II : Compound (Y), shown below, has two carbons with hybridization, one carbon with and one carbon with sp hybridization
.
In the light of the above statements, choose the correct answer from the options given below : [2026]
Both Statement I and Statement II are false
Statement I is true but Statement II is false
Both Statement I and Statement II are true
Statement I is false but Statement II is true
(3)

Two chiral centre and due to presence of –COOH compound dissolves in .

Match List – I with List – II
|
|
List – I |
|
List – II |
|
|
Reagents |
|
Reaction Name (Involving aldehydes) |
|
A. |
|
I. |
Etard Reaction |
|
B. |
|
II. |
Rosenmund Reduction |
|
C. |
|
III. |
Gatterman – Koch Reaction |
|
D. |
|
IV. |
Stephen Reaction |
Choose the correct answer from the options given below: [2026]
A–II, B–IV, C–I, D–III
A–IV, B–I, C–II, D–III
A–II, B–III, C–IV, D–I
A–IV, B–III, C–I, D–II
(1)
NCERT Name reaction theory based
Given below are the four isomeric compounds (P, Q, R, S)

Identify correct statements from below.
A. Q, R and S will give precipitate with 2, 4 – DNP.
B. P and Q will give positive Baeyer’s test.
C. Q and R will give sooty flame.
D. R and S will give yellow precipitate with / NaOH.
E. Q alone will deposit silver with Tollen’s reagent
Choose the correct option. [2026]
A, B, D and E only
A and E only
A, C and E only
C and E only
(3)

(A) Q, R, S all three give 2, 4 DNP test as they have Aldehyde/ketone group
(C) Q & R gives sooty flame
(E) Q gives Tollens reagent test