Which of the following compounds will give silver mirror with ammonical silver nitrate?
(A) Formic acid
(B) Formaldehyde
(C) Benzaldehyde
(D) Acetone
Choose the correct answer from the options given below: [2024]
A only
B and C only
C and D only
A, B, and C only
(4)
Aldehydes give positive Tollen's test.
So formaldehyde (HCHO) and benzaldehyde () give silver mirror with ammonical silver nitrate solution.
Formic acid has aldehydic part in it. So it also gives positive Tollen's as well as Fehling's test.
(A)
From the compounds given below, number of compounds which give positive Fehling’s test is ______.
Benzaldehyde, Acetaldehyde, Acetone, Acetophenone, Methanal, 4-nitrobenzaldehyde, cyclohexane carbaldehyde. [2024]
(3)

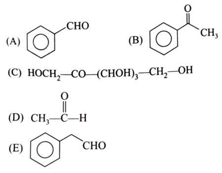
The compounds which give positive Fehling’s test are: [2025]

Choose the correct answer from the options given below:
(A), (D) and (E) only
(C), (D) and (E) only
(A), (B) and (C) only
(A), (C) and (D) only
(2)
Fehling’s test is given by those aldehydes which have –hydrogen atom. Benzaldehyde (A) has no –hydrogen atom, hence does not give Fehling’s test. Acetophenone (B) is a ketone and ketones do not give Fehling’s test. (D) and (E) are aldehydes with –hydrogen atom and C tautomerises to an aldehyde.

Thus C, D and E give positive Fehling’s test.
Both acetaldehyde and acetone (individually) undergo which of the following reactions? [2025]
(A) Iodoform Reaction
(B) Cannizzaro Reaction
(C) Aldol Condensation
(D) Tollen’s Test
(E) Clemmensen Reduction
Choose the correct answer from the options given below:
(A), (B) and (D) only
(A), (C) and (E) only
(B), (C) and (D) only
(C) and (E) only
(2)
| Reaction | Acetaldehyde | Acetone |
| A. Iodoform (given by Ar/R–CO–) | + | + |
| B. Cannizzaro (given by aldehydes without H) | – | – |
| C. Aldol (given by aldehydes with H) | + | + |
| D. Tollen’s test (given by aldehydes) | + | – |
| E. Clemmensen reduction (given by carbonyl compounds) | + | + |
Given below are two statements: [2025]

In the light of the above statements, choose the most appropriate answer from the options given below:
Statement I is incorrect but Statement II is correct
Statement I is correct but Statement II is incorrect
Both Statement I and Statement II are incorrect
Both Statement I and Statement II are correct
(2)
Phenols are soluble in NaOH (as phenols are more acidic than ). Aldehydes show Tollen’s test. As Vanillin contains both phenolic group and aldehydic group, it reacts with NaOH as well as Tollen’s reagent. Vanillin does not show aldol condensation as there are no hydrogens on carbon alpha to carbonyl group.
“P” is an optically active compound with molecular formula . When “P” is treated with 2,4-dinitrophenylhydrazine, it gives a positive test. However, in presence of Tollens reagent, “P” gives a negative test. Predict the structure of “P”. [2025]




(2)
| Compound | Optical activity | Tollen’s test (given by aldehydes) | 2,4 DNP test (given by aldehydes and ketones) |
![]() |
|
Negative | Positive |
![]() |
Active | Negative | Positive |
![]() |
Active | Positive | Positive |
![]() |
Inactive | Negative | Positive |
Given below are two statements: one is labelled as Assertion (A) and the other is labelled as Reason (R):
Assertion (A): Ketones give Seliwanoff’s test faster than Aldoses.
Reason (R): Ketones undergo -elimination followed by formation of furfural.
In the light of the above statements, choose the correct answer from the options given below: [2023]
Both (A) and (R) are true but (R) is not the correct explanation of (A).
(A) is false but (R) is true.
(A) is true but (R) is false.
Both (A) and (R) are true and (R) is the correct explanation of (A).
(3)
Statement-1: Ketose (example: fructose) gives a fiery red solution at a faster rate than aldose.
Number of compounds giving
(i) red colouration with ceric ammonium nitrate and also
(ii) positive iodoform test from the following is __________ [2023]

(3)
Only I, II, III gives iodoform test as well as red colour with ceric ammonium nitrate as they have group.
The number of molecules which gives haloform test among the following molecules is __________ [2023]

(3)

Number of isomeric compounds with molecular formula which
(i) do not dissolve in NaOH
(ii) do not dissolve in HCl
(iii) do not give orange precipitate with 2,4-DNP
(iv) on hydrogenation give identical compound with molecular formula is __________ [2023]
(2)

Among the following, the number of compounds which will give positive iodoform reaction is __________
a) 1-Phenylbutan-2-one
b) 2-Methylbutan-2-ol
c) 3-Methylbutan-2-ol
d) 1-Phenylethanol
e) 3,3-Dimethylbutan-2-one
f) 1-Phenylpropan-2-ol [2023]
(4)

The mass of produced when 131.8 kg of cyclohexanecarbaldehyde undergoes Tollen’s test is __________ kg. (Nearest integer)
Molar Mass of C = 12 g/mol
N = 14 g/mol
O = 16 g/mol [2023]
(60)
