Major product formed in the following reaction is a mixture of: [2024]





(4)

The major product(P) in the following reaction is [2024]





(4)

The major products formed: [2024]

A and B respectively are:




(3)


The ratio of number of oxygen atoms to bromine atoms in the product Q is _____ . [2024]
(15)

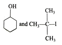
Which one of the following reactions will not lead to the desired ether formation in major proportion?
(iso-Bu ⇒ isobutyl, sec-Bu ⇒ sec-butyl, nPr ⇒ n-propyl, tBu ⇒ tert-butyl, Et ⇒ ethyl) [2025]


(4)
Williamson ether formation is an reaction. reactions give best yield if the attack is on a primary substrate. For secondary substrates, elimination begins to compete with the substitution product, and for tertiary substrates, elimination product is the major product.
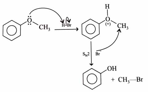
Which one of the following, with HBr will give a phenol? [2025]




(1)

Given below are two statements, one is labelled as Assertion A and the other is labelled as Reason R.
Assertion A: Butylated hydroxy anisole when added to butter increases its shelf life.
Reason R: Butylated hydroxy anisole is more reactive towards oxygen than food.
In the light of the above statements, choose the most appropriate answer from the options given below: [2023]
A is correct but R is not correct
Both A and R are correct but R is NOT the correct explanation of A
A is not correct but R is correct
Both A and R are correct and R is the correct explanation
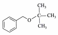
Suitable reaction condition for preparation of Methyl phenyl ether is [2023]
Benzene, MeBr
, MeBr
Ph - Br,
MeOH
(2)
This reaction is Williamson's reaction and it is used for the preparation of simple as well as mixed ethers.