If the local maximum value of the function is , then is equal to [2023]
[2023]
0
(3)
Let
Now,
Now,
Hence,
Let and Then [2023]
(3)
We have,
Both and are strictly increasing functions in [0, 3].
Let
,
If and respectively are the maximum and the minimum values of , then [2023]
The sum of the absolute maximum and minimum values of the function in the interval is equal to [2023]
12
10
24
13
(2)

From the graph, Maximum value = 17
Minimum value = - 7 as (-1) = 17 and
Sum of the absolute maximum and minimum values =
Let = 2 be a local minima of the function If is the local maximum value of the function in (- 4, 4), then [2023]
(2)

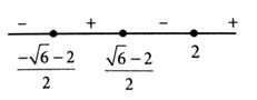
Sign of is given below
Point of maxima =
Let the function have a maxima for some value of < 0 and a minima for some value of > 0. Then, the set of all values of is [2023]
(4)
We have,
If the functions and have a common extreme point, then is equal to [2023]
3
6
4
(3)
We have,
and
For critical points,
Since and have a common extreme point,
condition for a common root is
A wire of length 20 m is to be cut into two pieces. A piece of length is bent to make a square of area and the other piece of length is made into a circle of area . If is minimum, then is equal to: [2023]
6 : 1
3 : 1
4 : 1
1 : 6
(1)
Let be the side of the square and radius of the circle.
Now, Then
Also,
Let
Now,
For minima,
Now,
Now,
The number of points, where the curve crosses the -axis, is __________ . [2023]
(5)