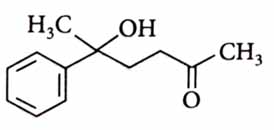
The major product of the following reaction is [2025]





(4)

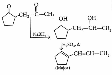
The major product formed in the following conversion is ______. [2023]





(1)

Consider the given reaction :
The functional groups present in compound "X" are [2023]
ketone and double bond
double bond and aldehyde
alcohol and aldehyde
alcohol and ketone
(4)

Thus, functional groups present in product ‘X’ are alcohol and ketone.
Identify product (A) in the following reaction : [2023]





(3)

This is Clemmensen reduction reaction.
Identify the product [D] obtained in the following sequence of reactions. [2023]



(3)

Identify the major product obtained in the following reaction. [2023]





(1)
Both aromatic and aliphatic aldehydes reduce Tollens’ reagent.

Match List-I with List-II. [2022]
| List-I (Products formed) | List-II (Reaction of carbonyl compound with) | ||
| A. | Cyanohydrin | (i) | |
| B. | Acetal | (ii) | |
| C. | Schiff’s base | (iii) | Alcohol |
| D. | Oxime | (iv) | HCN |
Choose the correct answer from the options given below:
(A) - (iii), (B) - (iv), (C) - (ii), (D) - (i)
(A) - (ii), (B) - (iii), (C) - (iv), (D) - (i)
(A) - (i), (B) - (iii), (C) - (ii), (D) - (iv)
(A) - (iv), (B) - (iii), (C) - (ii), (D) - (i)
(4)
Aldehydes react with HCN to give cyanohydrin.
Aldehydes react with alcohol to form acetal.
Aldehydes react with amine to give Schiff’s base.
Aldehydes react with to give oxime.
Which one of the following is not formed when acetone reacts with 2-pentanone in the presence of dilute NaOH followed by heating? [2022]




(2)
When acetone reacts with 2-pentanone in the presence of dil. NaOH, following products are formed:

What is the IUPAC name of the organic compound formed in the following chemical reaction?
[2021]
2-Methylbutan-2-ol
2-Methylpropan-2-ol
Pentan-2-ol
Pentan-3-ol
(1)

Reaction between benzaldehyde and acetophenone in presence of dilute NaOH is known as [2020]
Aldol condensation
Cannizzaro’s reaction
Cross Cannizzaro’s reaction
Cross Aldol condensation
(4)
Cross aldol condensation

Consider the reactions,

Identify A, X, Y and Z. [2017]
A – Methoxymethane, X – Ethanol, Y – Ethanoic acid, Z – Semicarbazide.
A – Ethanal, X – Ethanol, Y – But-2-enal, Z – Semicarbazone.
A – Ethanol, X – Acetaldehyde, Y – Butanone, Z – Hydrazone.
A – Methoxymethane, X – Ethanoic acid, Y – Acetate ion, Z – Hydrazine.
(2)
Since, A gives silver mirror test, it must be an aldehyde and aldehydes are formed by oxidation of 1° alcohols. Thus, ‘X’ is a 1° alcohol, i.e.,

Of the following, which is the product formed when cyclohexanone undergoes aldol condensation followed by heating? [2017]




The correct structure of the product ‘A’ formed in the reaction [2016]





(2)

C=C bond is reduced faster than C=O bond with (Pd–C).
Which of the following reagents would distinguish cis-cyclopenta-1,2-diol from the trans-isomer? [2016]
Aluminium isopropoxide
Acetone
Ozone
(3)

Trans-isomer does not react with acetone.
The correct statement regarding a carbonyl compound with a hydrogen atom on its alpha-carbon, is [2016]
a carbonyl compound with a hydrogen atom on its alpha-carbon rapidly equilibrates with its corresponding enol and this process is known as carbonylation
a carbonyl compound with a hydrogen atom on its alpha-carbon rapidly equilibrates with its corresponding enol and this process is known as keto-enol tautomerism
a carbonyl compound with a hydrogen atom on its alpha-carbon never equilibrates with its corresponding enol
a carbonyl compound with a hydrogen atom on its alpha-carbon rapidly equilibrates with its corresponding enol and this process is known as aldehyde-ketone equilibration.
(2)
Keto-enol tautomerism :

The product formed by the reaction of an aldehyde with a primary amine is [2016]
carboxylic acid
aromatic acid
Schiff’s base
ketone
(3)

Reaction of a carbonyl compound with one of the following reagents involves nucleophilic addition followed by elimination of water. The reagent is [2015]
hydrazine in presence of feebly acidic solution
hydrocyanic acid
sodium hydrogen sulphite
a Grignard reagent
(1)
Carbonyl compounds react with ammonia derivatives in weakly acidic medium as follows:

Here, Z is hydrazine.
Which one is most reactive towards nucleophilic addition reaction? [2014]




(4)
Aromatic aldehydes are more reactive than alkyl aryl ketones. Electron withdrawing group (—) increases the reactivity towards nucleophilic addition reactions whereas, electron donating group (—) decreases the reactivity towards nucleophilic addition reactions. Therefore, the order is:
