The products A and B formed in the following reaction scheme are respectively [2024]





(3)

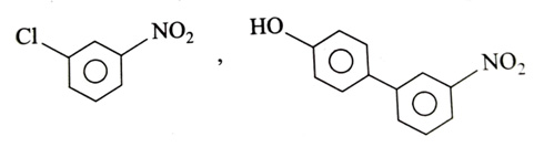
The azo-dye (Y) formed in the following reactions is
[2024]





(1)

Given below are two statements: [2024]
Statement I: Aniline reacts with con. , followed by heating at 453-473 K, gives p-aminobenzene sulphonic acid, which gives blood red colour in the 'Lassaigne's test'.
Statement II: In Friedel-Craft's alkylation and acylation reactions, aniline forms salt with the catalyst. Due to this, nitrogen of aniline acquires a positive charge and acts as a deactivating group.
In the light of the above statements, choose the correct answer from the options given below:
Both statement I and statement II are true
Both statement I and statement II are false
Statement I is true but statement II is false
Statement I is false but statement II is true
(1)
Statement (I)

In sulphanilic acid, nitrogen and sulphur both are present. So, in sodium fusion extract of sulphanilic acid, sodium thiocyanate is formed.
Sodium thiocyanate
Sodium thiocyanate gives blood-red colour with in Lassaigne’s test.
Blood red
Statement (II) : Aniline does not give Friedel-Craft’s alkylation and acylation reaction because aniline forms salt with (Lewis acid catalyst in the reaction). Due to this, nitrogen of aniline acquires a positive charge and hence acts as a strong deactivating group for further reaction.
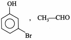
Major product of the following reaction is [2024]





(2)

The products formed in the following reaction sequence are: [2025]





(3)

The major product (A) formed in the following reaction sequence is [2025]





(1)

Consider the following sequence of reactions

Total number of hybridised carbon atoms in the major product C formed is ______. [2025]
(4)

Consider the following sequence of reactions:

Molar mass of the product formed (A) is ______ g . [2025]
(154)

Consider the following sequence of reactions to produce major product (A)

Molar mass of product (A) is ______ g .
(Given molar mass in g of C : 12, H : 1, O : 16, Br : 80, N : 14, P : 31) [2025]
(171)

is a neutral organic compound (M.F.: ). On treatment with aqueous , forms a compound which is soluble in dilute acid. on treatment with aqueous produces a compound which on treatment with produces . Hydrolysis of produces which is also obtainable from the hydrolysis of . on treatment with acidified produces . contains two different types of hydrogen atoms. The structure of is [2026]




(3)


Given below are two statements:
Statement I:
can be synthesized from
using simpler reagents in the order:
(i) Acidic (ii) Ammonia, (iii) Bromine and alkali.
Statement II:
can be converted into
using reagents in the order:
(i) Bromine– (ii) (iii) Aqueous
In the light of the above statements, choose the correct answer from the options given below: [2026]
Both Statement I and Statement II are true
Statement I is false but Statement II is true
Both Statement I and Statement II are false
Statement I is true but Statement II is false
(1)

Both statement (I) and (II) are true.
A student has been given a compound “x” of molecular formula– ‘x’ is sparingly soluble in water. However, on addition of dilute mineral acid, ‘x’ becomes soluble in water. ‘x’ when treated with and KOH(alc). ‘y’ is produced. ‘y’ has a specific unpleasant smell. On treatment with benzenesulphonyl chloride, ‘x’ gives a compound ‘z’ which is soluble in alkali. The number of different “H” atoms present in ‘z’ is: [2026]
7
8
5
4
(1)


Consider the above sequence of reactions. The number of bromine atom(s) in the final product (P) will be: [2026]
5
6
3
1
(1)

Number of Br atom in major product (P) = 5
The final product [B] is : [2026]




(2)

Consider the following reactions giving major product. Identify the correct reaction. [2026]




(2)
