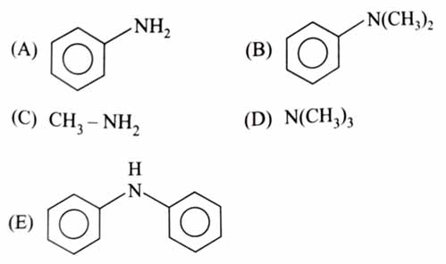
Q.

Which among the following react with Hinsberg’s reagent

Choose the correct answer from the options given below:               [2025]

1 A, B and E only  
2 C and D only  
3 A, C and E only  
4 B and D only  

Ans.

(3)

Primary and secondary amines react with Hinsberg’s reagent as these contain replaceable H atom.