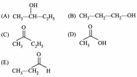
Which among the following compounds give yellow solid when reacted with NaOI/NaOH

Choose the correct answer from the options given below: [2025]
(2)
Iodoform test is given by methyl aldehydes (–CO–H) / methyl ketones (–CO–R) or Secondary alcohols (–CH(OH)–H / –CH(OH)–R) which are oxidized to such compounds in reaction conditions of iodoform test.
