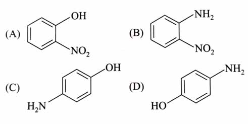
Q.

The steam volatile compounds among the following are:

Choose the correct answer from the options given below:             [2025]

1 (A) and (B) only  
2 (A), (B) and (C) only  
3 (B) and (D) only  
4 (A) and (C) only  

Ans.

(1)

(A) and (B) are steam volatile because of intramolecular hydrogen bonding.