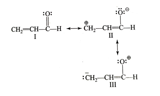
Q.

The order of relative stability of the contributing structure is:                   [2024]

Choose the correct answer from the options given below:

1 I > II > III  
2 II > I > III  
3 I = II = III  
4 III > II > I  

Ans.

(1)