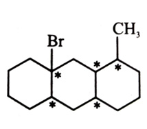
Q.

The number of optical isomers in following compound is _____.                            [2024]


Ans.

(32)

Number of chiral centers (n) = 5.

Number of optical isomers = 2n = 25 = 32