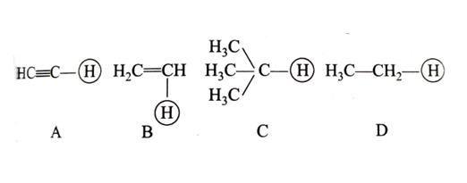
Q.

The ascending acidity order of the following H atoms is:                    [2024]

1 A < B < C < D  
2 D < C < B < A  
3 A < B < D < C  
4 C < D < B < A  

Ans.

(4)

Stability of conjugate base increases hence acidic strength of corresponding acids increases. Therefore, correct order is: C < D < B < A