Given below are two statements: [2024]
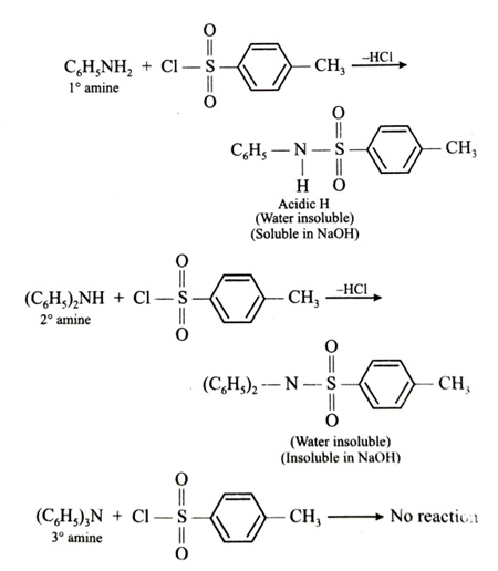
Statement (I): All the following compounds react with p-toluenesulfonyl chloride.
Statement (II): Their products in the above reaction are soluble in aqueous NaOH.
In the light of the above statements, choose the correct answer from the options given below.
(4)
Primary amines react with p-toluenesulfonyl chloride (Hinsberg’s reagent) to form sulphonamides which are soluble in NaOH. Secondary amines react with p-toluenesulfonyl chloride to form sulphonamides which are insoluble in NaOH. Tertiary amines do not react with p-toluenesulfonyl chloride.
