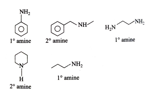
Number of compounds which give reaction with Hinsberg’s reagent is _______. [2024]

(5)
Primary and secondary (aliphatic or aromatic) amines react with Hinsberg’s reagent (benzene sulfonyl chloride) to form sulphonamides which are insoluble in water but soluble in ether. Sulphonamides formed by primary amines have acidic hydrogen, hence are soluble in aqueous KOH. Sulphonamides formed by secondary amines do not have acidic hydrogen, hence are insoluble in aqueous KOH. Tertiary amines do not react with Hinsberg’s reagent.

So among the given options, compounds that react with Hinsberg’s reagent are primary and secondary amines (aliphatic or aromatic).
