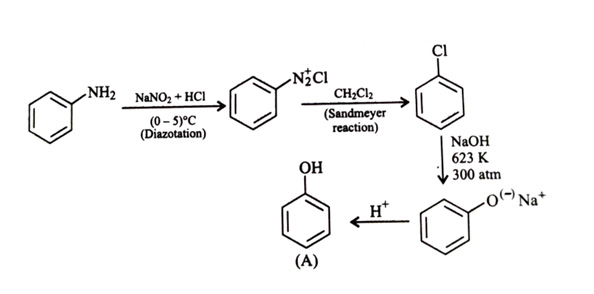
Identify the product (A) in the following reaction. [2024]

(4)
