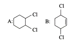
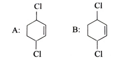
Identify product A and product B: [2024]

(2)
