072920 77839
info@smartachievers.in
Teacher
Student
Study Materials
JEE ADVANCE
CLASS XI - XII
PHYSICS
CHEMISTRY
MATHS
CRASH COURSE
JEE MAIN
CLASS XI - XII
PHYSICS
CHEMISTRY
MATHS
CRASH COURSE
NEET
CLASS XI - XII
PHYSICS
CHEMISTRY
BIOLOGY
CRASH COURSE
PHYSICS
CHEMISTRY
BIOLOGY
BITSAT
CLASS XI - XII
PHYSICS
CHEMISTRY
MATHS
CBSE BOARD
CLASS IX
SCIENCE
MATHS
NCERT SCIENCE
NCERT MATHS
NCERT ENGLISH
NCERT SCIENCE (Hindi)
NCERT MATHS (Hindi)
NCERT SOCIAL SCIENCE
CLASS X
SCIENCE
MATHS
NCERT MATHS
NCERT SCIENCE
NCERT MATHS (Hindi)
NCERT SCIENCE (Hindi)
NCERT ENGLISH
NCERT SOCIAL SCIENCE
CLASS XI
PHYSICS
CHEMISTRY
MATHS
BIOLOGY
NCERT PHYSICS
NCERT CHEMISTRY
NCERT MATHS
NCERT BIOLOGY
NCERT PHYSICS (Hindi)
NCERT CHEMISTRY (Hindi)
NCERT MATHS (Hindi)
NCERT BIOLOGY (Hindi)
NCERT ENGLISH
CLASS XII
PHYSICS
CHEMISTRY
MATHS
BIOLOGY
NCERT PHYSICS
NCERT CHEMISTRY
NCERT MATHS
NCERT BIOLOGY
NCERT PHYSICS (Hindi)
NCERT CHEMISTRY (Hindi)
NCERT MATHS (Hindi)
NCERT BIOLOGY (Hindi)
NCERT ENGLISH
NCERT ACCOUNTANCY
NCERT ECONOMICS
NCERT BUSINESS STUDIES
NCERT ACCOUNTANCY (Hindi)
NCERT ECONOMICS (Hindi)
NCERT BUSINESS STUDIES (Hindi)
CLASS VI
NCERT SCINECE
NCERT MATHS
NCERT SOCIAL SCIENCE
NCERT SCIENCE (Hindi)
NCERT MATHS (Hindi)
NCERT SOCIAL SCIENCE (Hindi)
CLASS VII
NCERT SCIENCE
NCERT MATHS
NCERT SOCIAL SCIENCE
NCERT SCIENCE (Hindi)
NCERT MATHS (Hindi)
NCERT SOCIAL SCIENCE (Hindi)
CLASS VIII
NCERT SCIENCE
NCERT MATHS
NCERT SOCIAL SCIENCE
UP BOARD
CLASS IX
SCIENCE
MATHS
SOCIAL SCIENCE
CLASS X
SCIENCE
MATHS
SOCIAL SCIENCE
CLASS XI
PHYSICS
CHEMISTRY
MATHEMATICS
BIOLOGY
CLASS XII
PHYSICS
CHEMISTRY
MATHS
BIOLOGY
CUET
CRASH COURSE
PHYSICS
CHEMISTRY
MATHEMATICS
BIOLOGY
GAT - Quantitative Aptitude
GAT - Reasoning & Aptitude
GAT - General Awareness
English Language
Courses
CLASSROOM COURSES
ONLINE COURSES
JEE ADVANCED
JEE MAIN
NEET
More
ABOUT US
EVENTS
BLOG
NEWS
CAREER
GALLERY
CONTACT US
Success story
Admission
Store
STUDY MATERIALS
COURSES
MORE
SUCCESS STORY
ADMISSION
STORE
Teacher
Student
Back
JEE ADVANCE
JEE MAIN
NEET
BITSAT
CBSE BOARD
UP BOARD
CUET
JEE ADVANCE
CLASS XI - XII
CRASH COURSE
CLASS XI - XII
PHYSICS
CHEMISTRY
MATHS
CRASH COURSE
JEE MAIN
CLASS XI - XII
CRASH COURSE
CLASS XI - XII
PHYSICS
CHEMISTRY
MATHS
CRASH COURSE
NEET
CLASS XI - XII
CRASH COURSE
CLASS XI - XII
PHYSICS
CHEMISTRY
BIOLOGY
CRASH COURSE
PHYSICS
CHEMISTRY
BIOLOGY
BITSAT
CLASS XI - XII
CLASS XI - XII
PHYSICS
CHEMISTRY
MATHS
CBSE BOARD
CLASS IX
CLASS X
CLASS XI
CLASS XII
CLASS VI
CLASS VII
CLASS VIII
CLASS IX
SCIENCE
MATHS
NCERT SCIENCE
NCERT MATHS
NCERT ENGLISH
NCERT SCIENCE (Hindi)
NCERT MATHS (Hindi)
NCERT SOCIAL SCIENCE
CLASS X
SCIENCE
MATHS
NCERT MATHS
NCERT SCIENCE
NCERT MATHS (Hindi)
NCERT SCIENCE (Hindi)
NCERT ENGLISH
NCERT SOCIAL SCIENCE
CLASS XI
PHYSICS
CHEMISTRY
MATHS
BIOLOGY
NCERT PHYSICS
NCERT CHEMISTRY
NCERT MATHS
NCERT BIOLOGY
NCERT PHYSICS (Hindi)
NCERT CHEMISTRY (Hindi)
NCERT MATHS (Hindi)
NCERT BIOLOGY (Hindi)
NCERT ENGLISH
CLASS XII
PHYSICS
CHEMISTRY
MATHS
BIOLOGY
NCERT PHYSICS
NCERT CHEMISTRY
NCERT MATHS
NCERT BIOLOGY
NCERT PHYSICS (Hindi)
NCERT CHEMISTRY (Hindi)
NCERT MATHS (Hindi)
NCERT BIOLOGY (Hindi)
NCERT ENGLISH
NCERT ACCOUNTANCY
NCERT ECONOMICS
NCERT BUSINESS STUDIES
NCERT ACCOUNTANCY (Hindi)
NCERT ECONOMICS (Hindi)
NCERT BUSINESS STUDIES (Hindi)
CLASS VI
NCERT SCINECE
NCERT MATHS
NCERT SOCIAL SCIENCE
NCERT SCIENCE (Hindi)
NCERT MATHS (Hindi)
NCERT SOCIAL SCIENCE (Hindi)
CLASS VII
NCERT SCIENCE
NCERT MATHS
NCERT SOCIAL SCIENCE
NCERT SCIENCE (Hindi)
NCERT MATHS (Hindi)
NCERT SOCIAL SCIENCE (Hindi)
CLASS VIII
NCERT SCIENCE
NCERT MATHS
NCERT SOCIAL SCIENCE
UP BOARD
CLASS IX
CLASS X
CLASS XI
CLASS XII
CLASS IX
SCIENCE
MATHS
SOCIAL SCIENCE
CLASS X
SCIENCE
MATHS
SOCIAL SCIENCE
CLASS XI
PHYSICS
CHEMISTRY
MATHEMATICS
BIOLOGY
CLASS XII
PHYSICS
CHEMISTRY
MATHS
BIOLOGY
CUET
CRASH COURSE
CRASH COURSE
PHYSICS
CHEMISTRY
MATHEMATICS
BIOLOGY
GAT - Quantitative Aptitude
GAT - Reasoning & Aptitude
GAT - General Awareness
English Language
Courses
CLASSROOM COURSES
ONLINE COURSES
ONLINE COURSES
JEE ADVANCED
JEE MAIN
NEET
More
ABOUT US
EVENTS
BLOG
NEWS
CAREER
GALLERY
CONTACT US
Back1
Solution
JEE MAIN
Class XI-XII
CHEMISTRY
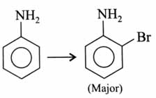
Q.
For reaction
The correct order of set of reagents for the above conversion is:
[2025]
1
Br
2
|
FeBr
3
,
H
2
O
(
Δ
)
,
NaOH
2
H
2
SO
4
,
Ac
2
O
,
Br
2
,
H
2
O
(
Δ
)
,
NaOH
3
Ac
2
O
,
Br
2
,
H
2
O
(
Δ
)
,
NaOH
4
Ac
2
O
,
H
2
SO
4
,
Br
2
,
NaOH
Ans.
(2)
Want Us to Email you About Special Offers & Updates?
Subscribe Successfully
Please enter your valid email
subscribe
×
Get Free live classes & tests on the app
Download
×