Following is a confirmatory test for aromatic primary amines. Identify reagent (A) and (B). [2024]

(4)
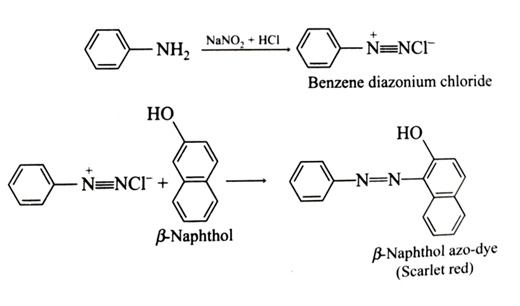
The presence of Aromatic primary amines is confirmed by azo dye test. Primary amine e.g., aniline reacts with nitrous acid generated in situ by the reaction of sodium nitrite with HCl at 0–5°C to produce diazonium salt. This couples with -naphthol to give a scarlet red dye, which is sparingly soluble in water.
