Q.

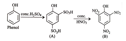
Consider the given chemical reaction sequence:                                                  [2024]

Total sum of oxygen atoms in Product A and Product B are ______. 


Ans.

(14)

Sum of oxygen atoms in A and B = 7 + 7 = 14.