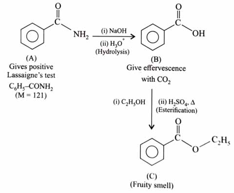
‘A’ shows positive Lassaigne’s test for N and its molar mass is 121.
‘B’ gives effervescence with aq. .
‘C’ gives fruity smell.
Identify A, B, and C from the following. [2025]
(1)
