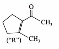
A molecule (“P”) on treatment with acid undergoes rearrangement and gives (“Q”). (“Q”) on ozonolysis followed by reflux under alkaline condition gives (“R”). The structure of (“R”) is given below.

The structure of (“P”) is [2025]
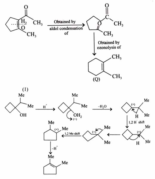
(3)


Both (2) and (3) give (Q) in acidic medium, but (2) gives by dehydration and (3) gives by rearrangement. Hence answer is (3).