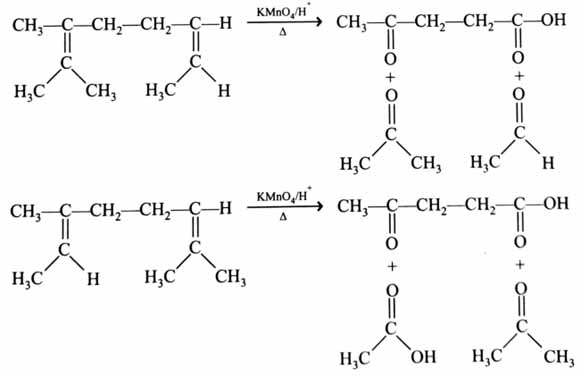
Q.

A compound “X” absorbs 2 moles of hydrogen and ‘X’ upon oxidation with KMnO4/H+ gives

The total number of σ bonds present in the compound ‘X’ is _______. [2025]


Ans.

(27)

X is either of the following two. It has 27 sigma bonds.