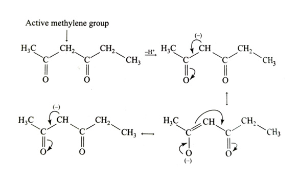
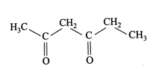
Which of the following has highly acidic hydrogen [2024]
(2)
Acidic strength of an acid stability of conjugate base.

Conjugate base of (2) is stabilised by −M effect of two carbonyl groups whereas, in all other options conjugate base gets −M stability of only one carbonyl group. Thus (2) has most acidic hydrogen.