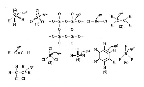
Q.

Total number of species from the following with central atom utilising sp2 hybrid orbitals for bonding is ___________

NH3,SO2,SiO2,BeCl2,C2H2,C2H4,BCl3,HCHO,C6H6,BF3,C2H4Cl2            [2024]


Ans.

(6)