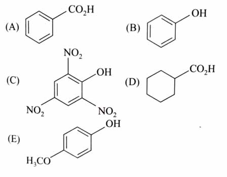
The compounds that produce with aqueous solution are: [2025]

Choose the correct answer from the options given below:
(1)
Those acids which are stronger than evolve with . Carboxylic acids (A and D) are stronger acids than , hence evolve with . Phenol (B) is weaker acid than , hence does not evolve with . Presence of three nitro groups (strong –M and –I group) makes (C) stronger acid than , hence it evolves with . Presence of (+M group) makes (E) weaker acid than , hence it does not evolve with .