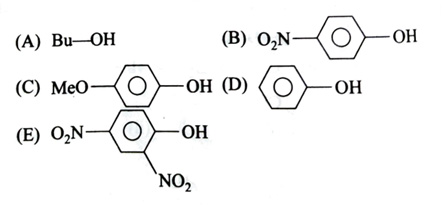
The ascending order of acidity of —OH group in the following compounds is: [2024]

Choose the correct answer from the options given below:
(2)
Phenoxide ion is stabilised by –M effect of phenyl group, whereas there is no resonance in alkoxide ion. Thus, phenols are more acidic than alcohols. Therefore (A) is least acidic among all.
In phenoxide ion, if there is an electron withdrawing group attached, it helps in more dispersal of negative charge on oxygen, which stabilises the conjugate base anion and hence increases acidic strength of the acid. Thus (E) is most acidic of all, as it has –M and –I effect of two nitro groups. (B) is more acidic than (D) but is less acidic than (E) as it has only one nitro group to exert –M and –I effect. Electron supplying groups destabilise conjugate base anion and hence decreases acidic strength of an acid. As methoxy group () exerts +M effect from para position, (C) is less acidic than (D). Therefore, correct ascending order is A < C < D < B < E