Match List I with List II. [2024]
| List I | List II | ||
| A. | I. | ||
| B. | II. | ||
| C. | III. | ||
| D. | IV. |
Choose the correct answer from the options given below:
(4)
A.
Oxidation number of Ni = +2

is strong field ligand hence causes pairing of electrons, then causes hybridization using 3d, 4s and 4p orbitals.
B. :
oxidation number of Ni = 0

CO is a strong field ligand. It shifts 4s electrons to 3d orbital to give configuration.

4s orbital becomes vacant. Ni then undergoes hybridization and lone pairs from CO are accommodated in orbitals.
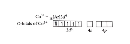
C.
Oxidation number of Co = +3

is a strong field ligand. It pairs up d electrons. After pairing d electrons, two 3d orbitals are vacant. undergoes hybridisation by using two 3d orbitals. Six pairs from six are accommodated in these six orbitals.
D.
Oxidation number of Co = +3

is a weak field ligand. It cannot pair up d electrons. Thus 4d orbitals are used for hybridization. Six pairs from six are accommodated in these six orbitals.