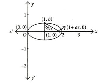
Let an ellipse with centre (1, 0) and latus rectum of length have its major axis along the -axis. If its minor axis subtends an angle at the foci, then the square of the sum of the lengths of its minor and major axes is equal to ________. [2023]
(9)
Length of latus rectum

and eccentricity , where is the angle subtended by minor axis at focus.
Now,
Now,