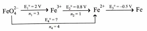
Q.

FeO42-+2.0 VFe3+0.8 VFe2+-0.5 VFe0

In the above diagram, the standard electrode potentials are given in volts (over the arrow).

The value of  EFeO42-/Fe2+  is                           [2025]

1 2.1 V  
2 1.7 V  
3 1.2 V  
4 1.4 V  

Ans.

(2)

When two reactions are added their Gibbs energy change is added, as Gibbs energy change is an extensive property.

ΔG4=ΔG1+ΔG2

-n4FE4=-n1FE1-n2FE2

-4FE4=-3F×2-1F×0.8

E4=6.84V=1.7 V