Q.

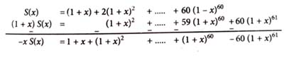
If S(x)=(1+x)+2(1+x)2+3(1+x)3++60(1+x)60x0 and (60)2S(60)=a(b)b+b, where a,bN, then (a+b) is equal to _______.       [2024]


Ans.

(3660) 

=(1+x)((1+x)60-1)1+x-1-60(1+x)61

x2S(x)=60x·(1+x)61-(1+x)((1+x)60-1)

For x=60, we have

(60)2S(60)=3600(61)61-61((61)60-1)

=(61)61[3600-1]+61=3599(61)61+61

a=3599,  b=61

a+b=3599+61=3660