Given below are two statements: one is labelled as Assertion (A) and the other is labelled as Reason (R). [2024]
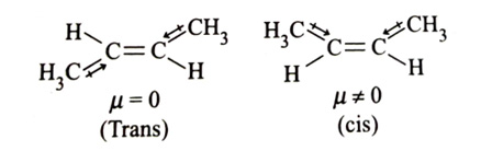
Assertion (A): Cis form of alkene is found to be more polar than the trans form.
Reason (R): Dipole moment of trans isomer of 2-butene is zero.
In the light of the above statements, choose the correct answer from the options given below:
(3)
Generally in cis alkenes, dipole moment is more than that of trans alkenes because in symmetrical trans alkenes, bond moments add to give zero net dipole moment.
