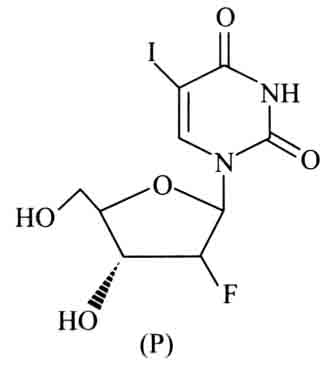
Q.

0.1 mol of the following given antiviral compound (P) will weigh ______ ×10-1 g. (nearest integer)

(Given: molar mass in g mol-1 H : 1, C : 12, N : 14, O : 16, F : 19, I : 127)                                    [2025]


Ans.

(372)

Molecular formula = C9H10O5N2IF

Molar mass =9×12+10×1+5×16+2×14+1×127+1×19

= 372 g

Mass of 0.1 mol = 372 ×10-1 g