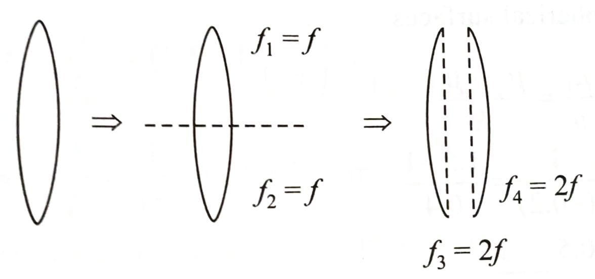
Two identical symmetric double convex lenses of focal length f are cut into two equal parts by AB plane and by XY plane as shown in figure respectively. The ratio of focal length of lenses and is [2025]

1 : 4
1 : 1
2 : 1
1 : 2
(4)

So,

Two concave refracting surfaces of equal radii of curvature and refractive index 1.5 face each other in air as shown in figure. A point object O is placed midway, between P and B. The separation between the images of O, formed by each refracting surface is: [2025]
0.214 R
0.114 R
0.411 R
0.124 R
(2)
For B
For A
Distance between images
A convex lens made of glass (refractive index = 1.5) has focal length 24 cm in air. When it is totally immersed in water (refractive index = 1.33), its focal length changes to [2025]
72 cm
96 cm
24 cm
48 cm
(2)
... (i)
... (ii)
(i) divided by (ii),
A slanted object AB is placed on one side of convex lens as shown in the diagram. The image is formed on the opposite side. Angle made by the image with principal axis is: [2025]

–45°
+45°
(2)

Location of image of A :
Since size of object is small w.r.t. the location hence
Angle made with principle axis = –45°

A spherical surface separates two media of refractive indices 1 and 1.5 as shown in figure. Distance of the image of an object 'O', is (C is the center of curvature of the spherical surface and R is the radius of curvature) [2025]
0.24 m right to the spherical surface
0.4 m left to the spherical surface
0.24 m left to the spherical surface
0.4 m right to the spherical surface
(2)
For spherical surfaces
A bi-convex lens has radius of curvature of both the surfaces same as 1/6 cm. If this lens is required to be replaced by another convex lens having different radii of curvatures on both sides (), without any change in lens power then possible combination of and is : [2025]
(2)
In 1st case:
in 2nd case:
If
Hence, option (2) is correct.
The radii of curvature for a thin convex lens are 10 cm and 15 cm respectively. The focal length of the lens is 12 cm. The refractive index of the lens material is [2025]
1.2
1.4
1.5
1.8
(3)
For bi-convex
A lens having refractive index 1.6 has focal length of 12 cm, when it is in air. Find the focal length of the lens when it is placed in water.
(Take refractive index of water as 1.28) [2025]
355 mm
288 mm
555 mm
655 mm
(2)
As we know,
For air
...(i)
For water,
=28.8 cm = 288 mm
Two thin convex lenses of focal lengths 30 cm and 10 cm are placed coaxially, 10 cm apart. The power of this combination is: [2025]
5 D
1 D
20 D
10 D
(4)
, d = distance between lens
Power =
A concave-convex lens of refractive index 1.5 and the radii of curvature of its surfaces are 30 cm and 20 cm, respectively. The concave surface is upwards and is filled with a liquid of refractive index 1.3. The focal length of the liquid-glass combination will be [2025]
(4)
