| 0.100 | 200 |
| 0.025 | 100 |
For a given reaction , is related to as given in the table.
Given: log 2 = 0.30
Which of the following is true?
(A) The order of the reaction is 1/2.
(B) If is 1 M, then is min.
(C) The order of the reaction changes to 1 if the concentration of reactant changes from 0.100 M to 0.500 M.
(D) is 800 min for = 1.6 M.
Choose the correct answer from the options given below: [2025]
(C) and (D) Only
(A) and (B) Only
(A), (B) and (D) Only
(A) and (C) Only
(3)
(A) For order reaction, is related to initial concentration as:
(B)
(D)
For bacterial growth in a cell culture, growth law is very similar to the law of radioactive decay. Which of the following graphs is most suitable to represent bacterial colony growth?
Where N – Number of Bacteria at any time, – Initial number of Bacteria. [2025]




(1)
Initial number of bacteria =
Number of bacteria at time t = N
Rate of increase of bacteria =
As bacteria grow by first order:
Integrate both sides:
This is exponential growth.
Drug X becomes ineffective after 50% decomposition. The original concentration of drug in a bottle was 16 mg/mL which becomes 4 mg/mL in 12 months. The expiry time of the drug in months is _______.
Assume that the decomposition of the drug follows first order kinetics. [2025]
6
12
2
3
(1)
After every , concentration of reactants in a first order reaction becomes half.
So in 6 months, the drug becomes ineffective.
In a reaction A + B → C, initial concentrations of A and B are related as . The half-lives of A and B are 10 min and 40 min, respectively. If they start to disappear at the same time, both following first order kinetics, after how much time will the concentration of both the reactants be same? [2025]
60 min
80 min
20 min
40 min
(4)
Half life of zero order reaction A → product is 1 hour, when initial concentration of reaction is 2.0 mol . The time required to decrease concentration of A from 0.50 to 0.25 mol is: [2025]
0.5 hour
4 hour
15 min
60 min
(3)
Half-life of a zero order reaction is related to initial concentration by:
Thus, rate constant is:
Concentration at any time is given by:
Reaction A(g) → 2B(g) + C(g) is a first order reaction. It was started with pure A.
| t / min | Pressure of system at time t / mm Hg |
| 10 | 160 |
| 240 |
Which of the following options is incorrect? [2025]
Initial pressure of A is 80 mm Hg.
The reaction never goes to completion.
Rate constant of the reaction is 1.693 .
Partial pressure of A after 10 minutes is 40 mm Hg.
(3)
From equations (I) and (II):
Thus, initial pressure of A .
Pressure of A after 10 min
First-order reactions never go to completion.
Rate constant:
A person’s wound was exposed to some bacteria and then bacterial growth started to happen at the same place. The wound was later treated with some antibacterial medicine and the rate of bacterial decay (r) was found to be proportional with the square of the existing number of bacteria at any instance. Which of the following set of graphs correctly represents the ‘before’ and ‘after’ situation of the application of the medicine?
Given: N = Number of bacteria, t = time, bacterial growth follows first order kinetics. [2025]




(2)
Before applying medicine:
Number of bacteria at any instant t = N
Rate of increase of bacteria =
As bacterial growth is first order reaction:
Integrating both sides:
After applying medicine:
Rate of decrease of bacteria
As per given data:
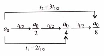
In a first order decomposition reaction, the time taken for the decomposition of reactant to one fourth and one eighth of its initial concentration are and (s), respectively. The ratio will: [2025]
(4)

For the reaction A → products.

The concentration of A at 10 minutes is ______ mol (nearest integer).
The reaction was started with 2.5 mol of A. [2025]
(2435)
As half-life is directly proportional to initial concentration, the given reaction is a zero-order reaction.
Thus, slope of vs is .
Also, for zero-order reaction,
For the thermal decomposition of at constant volume, the following table can be formed, for the reaction mentioned below:
| Sr. No. | Times | Total Pressure (atm) |
| 1 | 0 | 0.6 |
| 2 | 100 |
= _____ atm (nearest integer)
Given: Rate constant for the reaction is . [2025]
(897)
Total pressure at is
Total pressure at is
From above two equations,
For first order reaction, rate constant is given as: