A ceiling fan having 3 blades of length 80 cm each is rotating with an angular velocity of 1200 rpm. The magnetic field of earth in that region is 0.5 G and the angle of dip is 30°. The emf induced across the blades is V. The value of N is ______. [2024]
(32)
A horizontal straight wire 5 m long extending from east to west falling freely at right angle to horizontal component of earth's magnetic field . The instantaneous value of emf induced in the wire when its velocity is is _____ V. [2024]
(3)
A rod of length 60 cm rotates with a uniform angular velocity 20 rad about its perpendicular bisector, in a uniform magnetic field 0.5 T. The direction of magnetic field is parallel to the axis of rotation. The potential difference between the two ends of the rod is ______ V. [2024]
(0)

A square loop PQRS having 10 turns, area and resistance 100 is slowly and uniformly being pulled out of a uniform magnetic field of magnitude B = 0.5 T as shown. Work done in pulling the loop out of the field in 1.0 s is ___ . [2024]

(3)
A rectangular loop of sides 12 cm and 5 cm, with its sides parallel to the x-axis and y-axis respectively, moves with a velocity of 5 cm/s in the positive x-axis direction, in a space containing a variable magnetic field in the positive z-direction. The field has a gradient of T/cm along the negative x-direction and it is decreasing with time at the rate of T/s. If the resistance of the loop is 6 , the power dissipated by the loop as heat is ______ W. [2024]
(216)

A uniform magnetic field of 0.4 T acts perpendicular to a circular copper disc 20 cm in radius. The disc is having a uniform angular velocity of about an axis through its centre and perpendicular to the disc. What is the potential difference developed between the axis of the disc and the rim? ( = 3.14) [2025]
0.0628 V
0.5024 V
0.2512 V
0.1256 V
(3)
Given : B = 0.4 T, r = 20 cm and rad/s
The potential difference developed between the axis of the disc and the rim, = 0.2512 V

A conducting bar moves on two conducting rails as shown in the figure. A constant magnetic field B exists into the page. The bar starts to move from the vertex at time t = 0 with a constant velocity. If the induced EMF is , then value of n is ______. [2025]
(1)

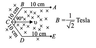
Conductor wire ABCDE with each arm 10 cm in length is placed in magnetic field of Tesla, perpendicular to its plane. When conductor is pulled towards right with constant velocity of 10 cm/s, induced emf between points A and E is ______ mV. [2025]

(10)
As field is uniform, we can replace the bent wire with straight wire from A to E. EMF
A metallic rod of length is rotated with an angular speed of normal to a uniform magnetic field about an axis passing through one end of the rod as shown in the figure. The induced emf will be [2023]

(3)
A wire of length 1 m moving with velocity 8 m/s at right angles to a magnetic field of 2 T. The magnitude of induced emf between the ends of the wire will be ______. [2023]
20 V
16 V
8 V
12 V
(2)

The induced emf can be produced in a coil by [2023]
A. moving the coil with uniform speed inside uniform magnetic field
B. moving the coil with non-uniform speed inside uniform magnetic field
C. rotating the coil inside the uniform magnetic field
D. changing the area of the coil inside the uniform magnetic field
Choose the correct answer from the options given below:
B and C only
B and D only
C and D only
A and C only
(3)
Moving a coil inside a uniform magnetic field either with uniform or non-uniform speed doesn’t change flux, so no emf is induced.

An emf of 0.08 V is induced in a metal rod of length 10 cm held normal to a uniform magnetic field of 0.4 T, when it moves with a velocity of [2023]
(2)

A 1 m long metal rod XY completes the circuit as shown in the figure. The plane of the circuit is perpendicular to the magnetic field of flux density 0.15 T. If the resistance of the circuit is , the force needed to move the rod in the direction, as indicated, with a constant speed of 4 m/s will be ________ . [2023]

(18)
A metallic cube of side 15 cm moving along y-axis at a uniform velocity of . In a region of uniform magnetic field of magnitude 0.5 T directed along z-axis. In equilibrium the potential difference between the faces of higher and lower potential developed because of the motion through the field will be _________ mV. [2023]

(150)
A 20 cm long metallic rod is rotated with 210 rpm about an axis normal to the rod passing through its one end. The other end of the rod is in contact with a circular metallic ring. A constant and uniform magnetic field 0.2 T parallel to the axis exists everywhere. The emf developed between the centre and the ring is _________ mV. Take . [2023]
(88)

In an AC generator, a rectangular coil of 100 turns each having area is rotated at 360 rev./min. about an axis perpendicular to a uniform magnetic field of magnitude 3.0 T. The maximum value of the emf produced will be _________ V. (Take ) [2023]
(1584)
A 20 m long uniform copper wire held horizontally is allowed to fall under gravity through a uniform horizontal magnetic field of 0.5 Gauss perpendicular to the length of the wire. The induced EMF across the wire when it travels a vertical distance of 200 m is ________ mV. [2026]
(1)
A simple pendulum made of mass 10 g and a metallic wire of length 10 cm is suspended vertically in a uniform magnetic field of 2 T. The magnetic field direction is perpendicular to the plane of oscillations of the pendulum. If the pendulum is released from an angle of with the vertical, then the maximum induced EMF between the point of suspension and the point of oscillation is ______ mV. (Take ). [2026]
(100)
Using energy conservation,
From eq.(1),
A 1 m long metal rod AB completes the circuit as shown in figure. The area of circuit is perpendicular to the magnetic field of 0.10 T. If the resistance of the total circuit is then the force needed to move the rod towards right with constant speed (v) of 1.5 m/s is_______ N. [2026]

(4)
To maintain constant speed

XPQY is a vertical smooth long loop having a total resistance R where PX is parallel to QY and the separation between them is . A constant magnetic field B perpendicular to the plane of the loop exists in the entire space. A rod CD of length L and mass m is made to slide down from rest under gravity as shown in the figure. The terminal speed acquired by the rod is _______ m/s. (g = acceleration due to gravity) [2026]

(2)
