Which structure of protein remains intact after coagulation of egg white on boiling? [2024]
Primary
Tertiary
Secondary
Quaternary
(1)
During denaturation secondary and tertiary structures are destroyed but primary structure remains intact. For example: (a) the coagulation of egg white on boiling (b) curdling of milk which is caused due to the formation of lactic acid by the bacteria present in milk.
Type of amino acids obtained by hydrolysis of proteins is: [2024]
(4)
Proteins are polymers of amino acids.
Coagulation of egg, on heating is because of: [2024]
Biological property of protein remains unchanged
Denaturation of protein occurs
Breaking of the peptide linkage in the primary structure of protein occurs
The secondary structure of protein remains unchanged
(2)
The coagulation of egg white on boiling is an example of denaturation of protein. When a protein in its native form is subjected to physical change like change in temperature or chemical change like change in pH, the hydrogen bonds are disturbed. Due to this, globules unfold and helix get uncoiled and protein loses its biological activity. This is called denaturation of protein. During denaturation secondary and tertiary structures are destroyed but primary structure remains intact.
The total number of carbon atoms present in tyrosine, an amino acid, is ______. [2024]
(9)

Identify the correct statement among the following: [2025]
All naturally occurring amino acids except glycine contain one chiral centre.
All naturally occurring amino acids are optically active.
Glutamic acid is the only amino acid that contains a –COOH group at the side chain.
Amino acid, cysteine easily undergo dimerization due to the presence of free SH group.
(4)


A tetrapeptide “x” on complete hydrolysis produced glycine (Gly), alanine (Ala), valine (Val), leucine (Leu) in equimolar proportion each. The number of tetrapeptides (sequences) possible involving each of these amino acids is [2025]
16
32
8
24
(4)
Possible combinations = 4 × 3 × 2 × 1 = 24
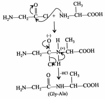
Identify the pair of reactants that upon reaction, with elimination of HCl will give rise to the dipeptide Gly–Ala. [2025]




(1)

A dipeptide, “x” on complete hydrolysis gives “y” and “z”. “y” on treatment with aq. produces lactic acid. On the other hand “z” on heating gives the following cyclic molecule.

Based on the information given, the dipeptide X is: [2025]
valine–glycine
alanine–glycine
valine–leucine
alanine–alanine
(2)

Given below are two statements: [2025]
Statement (I): On hydrolysis, oligopeptides give rise to fewer number of -amino acids while proteins give rise to a large number of α-amino acids.
Statement (II): Natural proteins are denatured by acids which convert the water soluble form of fibrous proteins to their water insoluble form.
In the light of the above statements, choose the most appropriate answer from the options given below:
Both statement I and statement II are correct
Statement I is incorrect but Statement II is correct
Both statement I and statement II are incorrect
Statement I is correct but Statement II is incorrect
(3)
Statement I: Hydrolysis of proteins give amino acids.
Statement II: Protein found in a biological system with a unique three-dimensional structure and biological activity is called a native protein. When a protein in its native form is subjected to physical change like change in temperature or chemical change like change in pH, the hydrogen bonds are disturbed. Due to this, globules unfold and helix get uncoiled and protein loses its biological activity. This is called denaturation of protein. During denaturation secondary and tertiary structures are destroyed but primary structure remains intact.
Fibrous proteins are generally insoluble in water.

Choose the correct option for structures of A and B, respectively. [2025]




(1)
In acidic medium (pH = 2) lone pair on N is donated to . In basic medium (pH = 10), of COOH is lost.
The -Helix and -pleated sheet structures of protein are associated with its: [2025]
quaternary structure
primary structure
secondary structure
tertiary structure
(3)
The secondary structure of protein refers to the shape in which a long polypeptide chain can exist. They are found to exist in two different types of structures viz. -helix and -pleated sheet structure. These structures arise due to the regular folding of the backbone of the polypeptide chain due to hydrogen bonding between –CO– and –NH– groups of the peptide bond.
Identify the essential amino acids from below: [2025]
(A) Valine
(B) Proline
(C) Lysine
(D) Threonine
(E) Tyrosine
Choose the correct answer from the options given below:
(A), (C) and (D) only
(C), (D) and (E) only
(B), (C) and (E) only
(A), (C) and (E) only
Number of cyclic tripeptides formed with 2 amino acids A and B is: [2023]
2
4
3
5
(2)
AAA, BBB, ABA, BAB are 4 possible cyclic structures.
Following tetrapeptide can be represented as

(F, L, D, Y, I, Q, P are one letter codes for amino acids) [2023]
PLDY
FLDY
FIQY
YQLF
(2)
Amino acid chain or peptide chain is often named starting from N-terminal ending towards C-Terminal. So FLDY is the best combination.
A protein ‘X’ with molecular weight of 70,000 u, on hydrolysis gives amino acids. One of these amino acid is [2023]




(2)
All proteins are polymers of -amino acids.
Match List I with List II. [2023]
| List I | List II | ||
| Natural Amino acid | One Letter Code | ||
| A. | Arginine | I. | D |
| B. | Aspartic acid | II. | N |
| C. | Asparagine | III. | A |
| D. | Alanine | IV. | R |
Choose the correct answer from the options given below:
A-IV, B-I, C-III, D-II
A-III, B-I, C-II, D-IV
A-I, B-III, C-IV, D-II
A-IV, B-I, C-II, D-III
(4)


Sulphur (S) containing amino acids from the following are:
a) isoleucine
b) cysteine
c) lysine
d) methionine
e) glutamic acid [2023]
a, d
a, b, c
b, c, e
b, d
(4)
Cysteine and methionine contain S-atom.
Match List I with List II. [2023]
| List I | List II | ||
| Natural amino acid | One letter code | ||
| A. | Glutamic acid | I. | Q |
| B. | Glutamine | II. | W |
| C. | Tyrosine | III. | E |
| D. | Tryptophan | IV. | Y |
Choose the correct answer from the options given below:
A-IV, B-III, C-I, D-II
A-III, B-IV, C-I, D-II
A-II, B-I, C-IV, D-III
A-III, B-I, C-IV, D-II
The one that does not stabilize 2° and 3° structures of proteins is [2023]
van der Waals forces
— S — S — linkage
H-bonding
— O — O — linkage
(4)
The main forces which stabilise the 2° and 3° structures of proteins are hydrogen bonding, disulphide linkages, van der Waals and electrostatic forces of attraction.
The naturally occurring amino acid that contains only one basic functional group in its chemical structure is [2023]
asparagine
lysine
histidine
arginine
(1)
Lysine, Arginine and Histidine are basic amino acids with one extra basic functional group, whereas Asparagine has additional-amide group, which is not classified as basic functional group.
Which is not true for arginine? [2023]
It has a fairly high melting point.
It has high solubility in benzene.
It is associated with more than one pKa values.
It is a crystalline solid.
(2)
Arginine exist as zwitter ion and such ionic compounds are insoluble in non polar solvent like “benzene”.
Given below are two statements, one is labelled as Assertion A and the other is labelled as Reason R.
Assertion A: A solution of the product obtained by heating a mole of glycine with a mole of chlorine in presence of red phosphorous generates chiral carbon atom.
Reason R: A molecule with 2 chiral carbons is always optically active.
In the light of the above statements, choose the correct answer from the options given below: [2023]
Both A and R are true but R is NOT the correct explanation of A.
A is true but R is false
A is false but R is true
Both A and R are true and R is the correct explanation of A.
(2)

Optical activity does not depend on chiral carbon. Meso compounds are optically inactive.
Total number of tripeptides possible by mixing of valine and proline is ________. [2023]
(8)
Pro-Val-Pro
Pro-Val-Val
Val-Pro-Pro
Val-Pro-Val
Val-Val-Pro
Pro-Pro-Val
Val-Val-Val
Pro-Pro-Pro
A short peptide on complete hydrolysis produces 3 moles of glycine (G), two moles of leucine (L) and two moles of valine (V) per mole of peptide. The number of peptide linkages in it are ________. [2023]
(6)
Three moles of glycine (G), two moles of leucine (L) and two moles of valine (V) per mole of peptide show that peptide chain has 7 amino acids, that is a heptapeptide chain. The number of peptide linkages in it are 6.
In an oligopeptide named alanylglycylphenyl alanylisoleucine, the number of hybridised carbons is ________. [2023]
(10)

Identify the correct statements.
A. Arginine and Tryptophan are essential amino acids.
B. Histidine does not contain heterocyclic ring in its structure.
C. Proline is a six membered cyclic ring amino acid.
D. Glycine does not have chiral centre.
E. Cysteine has characteristic feature of side chain as
Choose the correct answer from the options given below : [2026]
C and D Only
A and D Only
B and E Only
C and E Only
(2)
· Histidine does contain heterocyclic ring.
· Proline is a five membered cyclic ring amino acid.
· Cysteine has characteristic feature of side chain as .
The number of possible tripeptides formed involving alanine (ala), glycine (gly) and valine (val), where no amino acid has been used more than once is: [2026]
3
4
8
6
(4)
Gly ala val
Gly val ala
Val gly ala
Val ala gly
Ala val gly
Ala gly val
Total tri peptides = 6
The correct statements are :
A. Activation energy for enzyme catalysed hydrolysis of sucrose is lower than that of acid catalysed hydrolysis.
B. During denaturation, secondary and tertiary structures of a protein are destroyed but primary structure remains intact.
C. Nucleotides are joined together by glycosidic linkage between carbons of the pentose sugar.
D. Quaternary structure of proteins represents overall folding of the polypeptide chain.
Choose the correct answer from the options given below : [2026]
A, B and D Only
B and C Only
A, C and D Only
A and B Only
(4)
Activation energy for enzyme catalysed hydrolysis of sucrose is lower than that of acid catalysed hydrolysis.
During denaturation secondary and tertiary structure of a protein are destroyed but primary structure remains intact.
In the given pentapeptide, find out an essential amino acid (Y) and the sequence present in the pentapeptide:

Choose the correct answer from the options given below: [2026]
| (Y) | (Sequence) |
| Threonine | Thr–Ser–Asp–Gly–Ala |
| (Y) | (Sequence) |
| Serine | Ser–Asp–Thr–Ala–Gly |
| (Y) | (Sequence) |
| Serine | Thr–Ser–Asp–Ala–Gly |
| (Y) | (Sequence) |
| Threonine | Ser–Thr–Asp–Gly–Ala |
(1)
